Follow
41
2
17
Matematizando com JL
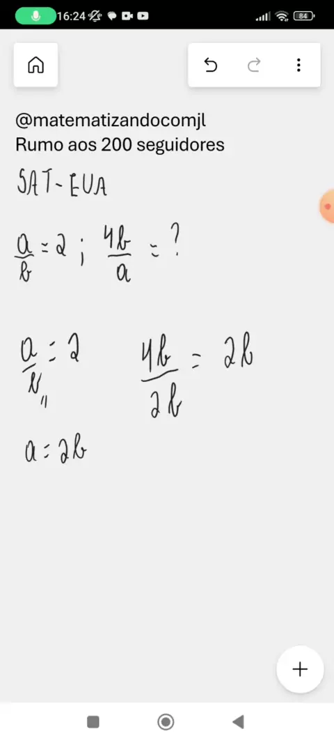
Questão de vestibular dos Estados Unidos. #desafio #matematica #BomPraKWAI #leiaNokwai
More
Comment
Cancel
Send