متابعة
23
0
9
exatas em minutos
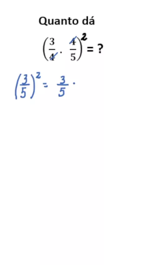
Matemática básica 🔥
المزيد
تقييم
إلغاء
إرسال