Seguir
98
4
2
Privat Al Faiz
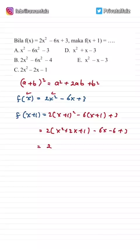
Soal Fungsi sering muncul di UTBK#utbk2021 #utbk2022 #utbk #sbmptn
Mais
Comentar
Cancelar
Enviar